Příklady od Vás:
Logaritmické a goniometrické rovnice/nerovnice
Jakub upraveno: 09. 06. 2020 • 20:01
Asi sa najskôr pokúsime vyriešiť tento príklad a potom dodám ďalšie, aby sme v tom mali prehľad :D . Zatiaľ som túto nerovnicu riešil iba pre jeden prípad a to, keď je v čitateli plus a v menovateli mínus, ešte ani tento prípad nieje doriešený. Radšej som to zatiaľ nechal takto, ak by som už sem mal chybu. :)
EDIT : ospravedlňujem sa, všimol som si chybu hneď od začiatku, každopádne budem rád, ak mi poviete, či sa nerovnica dá rozumným spôsobom vypočítať :)
Dominik Chládek 10. 06. 2020 • 00:51
Dobrý večer,
já bych šel spíš cestou nulových bodů než to jak se na to snažíte jít Vy :) prostě bych našel všechny body, kdy může dojít ke změně znaménka (nulové body v čitateli i jmenovateli) a nanesl je na číselnou osu a dosazoval. Stylem co máte Vy nepokryjete všechny případy :)
Jakub 08. 06. 2020 • 13:05
Tretia strana :
Jakub 08. 06. 2020 • 13:04
Druhá strana :
Jakub 08. 06. 2020 • 13:04
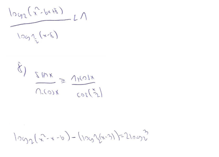
Prvá strana goniometrickej nerovnice :
Dominik Chládek 07. 06. 2020 • 19:09
Dobrý den,
a příložíte Váš postup? :)
