Předpoklady Nesplněny
Univerzální trigonometrická substituceIntegrální počet (integrace)
-%
Rychlejší trigonometrické substituce
Návaznosti
Řešená cvičení
Trigonometrická substituce
Vysoká škola • 6 min
Vypočítejte:
\(\displaystyle \int\frac{2dx}{\cos x}\)
Trigonometrická substituce
Vysoká škola • 8 min
Vypočítejte:
\(\displaystyle \int\dfrac{\sin x \cos^3x}{\sin^3 x+1}dx\)
Trigonometrická substituce
Vysoká škola • 4 min
Vypočítejte:
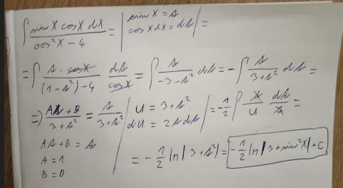
\(\displaystyle \int\dfrac{\sin x \cos x}{\cos^2 x-4}dx\)
Testy
-%
Rychlejší trigonometrické substituce
Střední škola • 3 min
-%
Substituce -%
Substituce -%
Substituce -%
Konkrétní výpočet
Vysoká škola • 5 min
-%
Mocniny goniometrických funkcí -%
Podrobnosti o látce
Výpisky ke stažení
Autor videa

Dominik Chládek
Autor matematiky na isibalu :)
Klíčová slova
Vysoká škola
Odhadovaná délka studia
0 h 59 min
Komentáře
Katarina Sohajda 12. 11. 2023 • 10:06
Dobrý deň,
v druhom riešenom príklade trigoniometrickej substitúcie, ste nezabudli na konci na číslo -1 ?


Dominik Chládek 12. 11. 2023 • 11:19
V pohode :)
Katarina Sohajda 12. 11. 2023 • 10:08
Aha, až teraz som si všimla Váš komentár. Prepáčte!
mockaj 18. 04. 2018 • 14:32
Děkuji za super video, pokud by si někdo nechtěl pamatovat vzorce sin(x) a cos(x) pro tu substituci tg(x)=t a odvození mu z nějakého důvodu nešlo, dá se to udělat přes pravoúhlý trojúhelník.Stačí si jen přilehlou zvolit o délce 1 a protilehlou o délce t
